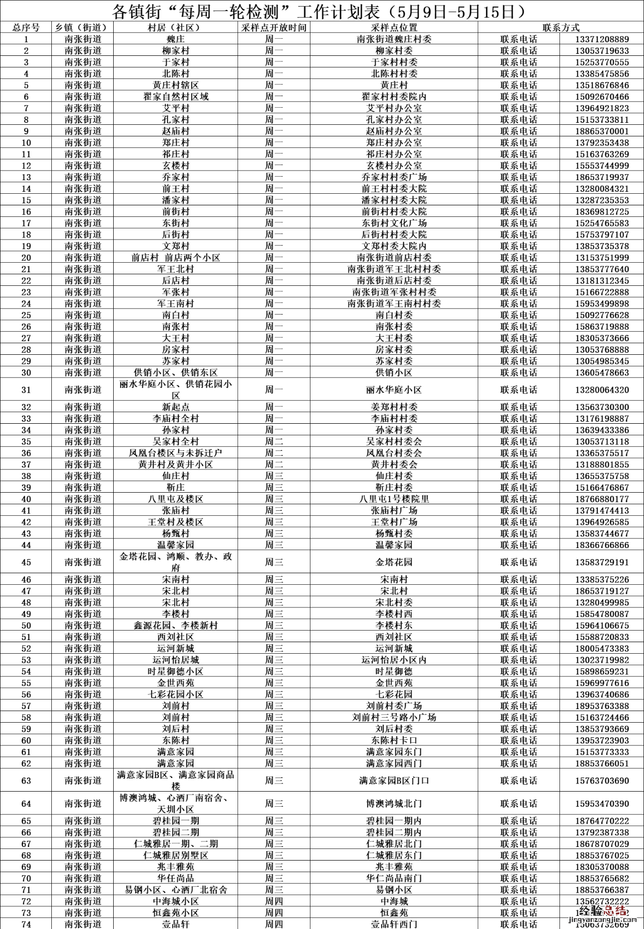
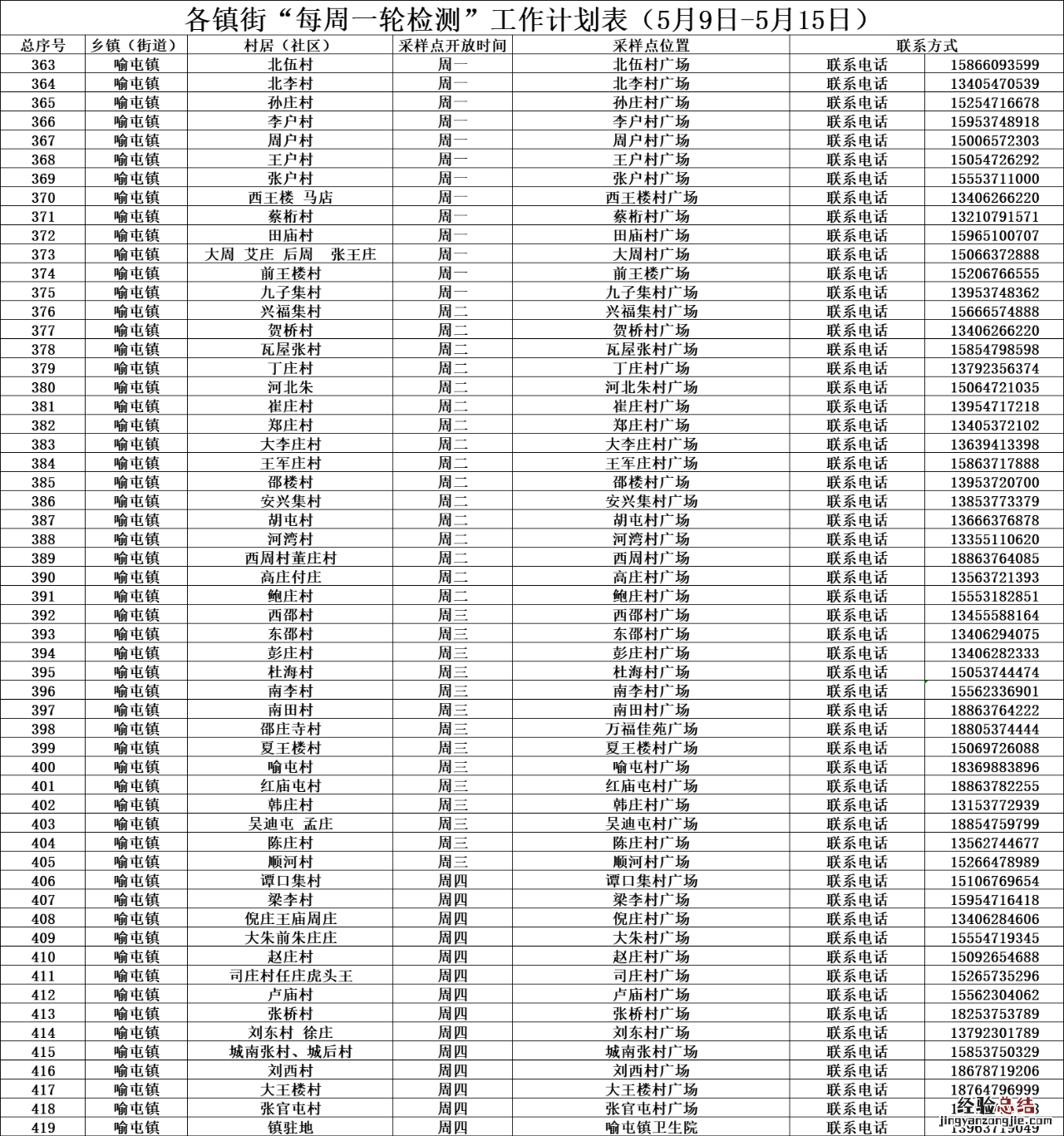
任城区各镇街“每周一轮检测”工作计划表(5月9日-5月15日)
为适应常态化区域核酸检测工作,任城区除目前常设、固定开放的“愿检尽检”核酸采样点照常开放外,其他采样点轮流定期开放 。广大居民朋友们可根据各采样点开放时间就近进行核酸采样 。现将任城区各镇街“每周一轮检测”工作计划表(5月9日-5月15日)公布如下:

文章插图

文章插图

文章插图

文章插图

文章插图

文章插图

文章插图

文章插图

文章插图

文章插图
【济宁任城区每周一轮核酸检测计划表 济宁市任城区核酸检测】

文章插图

文章插图

文章插图

文章插图

文章插图

文章插图
经验总结扩展阅读
-
-
-
-
父亲|搞笑GIF段子:妹子,你还是悠着点,腿受了伤还敢玩滑板!
-
刘秉|民间小故事:一碗鸡汤,五人送命,有些时候,友情比亲情更加靠得住
-
2022年10月29日买牛黄道吉日 2022年农历十月初五买牛吉日
-
|给56岁有钱男人生了女儿后,我深深体会到了什么叫做从天堂到地狱
-
口头语言表达的三要素是什么 口头语言表达的三要素分别是什么
-
-
-
别格一楼 这款欧式别墅,色彩搭配温馨优雅,与乡村美丽的小镇风格非常协调
-
-
你持续奋斗的勇气才是你是这个世界上最值得关注的人或事他人的点醒才是你应该是梦醒时分的时候...|人生的关键在于自我的内心和自我的满足
-
-
电脑上的注册表是什么意思怎么用 注册表机制源处何处
-
-
中国易经风水|鼻子看运势,“穷鼻子”“富鼻子”,看你的鼻子值不值钱?
-
-
-